The above video is an excellent demonstration of Bernoulli's principle. Notice how the current flows to the right and how the leaves get caught in the eddies. The current is slowed by the obstacles and this causes a back flow. Now imagine a current of expanding spacetime flowing in all directions, and matter swirling in eddies we call galaxies. The outward flow is slowed by the presence of matter--there is a back flow we call gravity.
Below is Bernoulli's equation along with a couple of diagrams. The top diagram shows a boat going merrily down an unimpeded stream. Pressure (P) is zero. This is analogous to an expanding universe devoid of matter. The second diagram shows a stream with a big black boulder in the way. It slows the stream down. The current pushes and brushes the boulder, so pressure (P) is greater than zero. There is a back flow indicated by the red arrow. The boat is pushed upstream to the boulder. This is analogous to matter in an expanding universe causing a gravitational effect.
Bernoulli's equation isn't very practical if applied to spacetime and gravity. Bernoulli didn't take into account relativity, for instance. However, we learn a very useful concept from Bernoulli: Mass causes pressure to rise and the current velocity (v) to slow. If pressure falls, velocity increases, but in this case, pressure can only fall if mass is reduced. Kind of sounds like momentum conservation, doesn't it?
In the diagram below we feature a momentum equation. If spacetime were devoid of all matter, the outflow velocity (v) would equal the back flow velocity (c) (see arrows). The mass pressure density (pm) would equal the vacuum mass density (ps). There would be no gravity--just expansion.
The next diagram shows a universe with a black hole. Expanding spacetime flows around and puts pressure on this black hole. To conserve momentum, the outflow velocity is reduced. The result is a back flow indicated by the arrows in red. We have gravity.
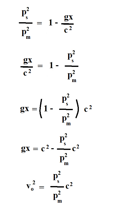
The momentum equation seems like a pretty good model for spacetime and gravity, but is it valid? Let's see if we can prove its validity. First let's define some variables:
And here's the proof:
Within the proof we derived another useful equation:
The above equation tells us the instant gravitational velocity squared (gx) at a given location (x)--or, fluid-mechanically speaking, the net back flow rate squared.
Update: The following proof shows that spacetime momentum is conserved but gravitational momentum is not:
The first equation above clearly shows that any change to pressure mass density (pm) causes outflow velocity (vo) to change, so momentum is conserved. The last equation above shows that any change in a falling mass (m) has no effect on velocity (v), so different masses fall at the same rate in a gravitational field.
Update: The above math suggests that spacetime expands at a steady rate up to light speed (c) and is slowed by the presence of matter. What about Hubble's constant and expansion velocity v = Hr?
How fast spacetime expands depends on whether you use Hubble's constant or time rate (t'). Time rate (t') grows as spacetime grows. Hubble's constant does not. The diagram below shows that spacetime can expand no more than light speed but appear to be expanding at an accelerated rate.
If we assume all the dots above are in motion, the expansion is a steady rate. If we assume that the red dot is at rest, then the blue dot appears to be moving away at light speed, and the green dot appears to be moving twice light speed! To get the right numbers for gravity, we need to go with the first assumption: spacetime expands at a steady maximum rate of light speed when it is not slowed by matter.
Update: The following equation was derived above.
The diagram below shows spacetime expanding in a gravitational field (see arrows). The net backflow or gx is c^2-v^2. As mentioned earlier, the presence of matter (a planet, star, etc.) slows the outflow rate of v.
If any mass is falling in this gravitational field, we could use these equations to describe it:
We could also use the diagrams below:
Diagram 1) above represents a small mass falling in a gravitational field. The variable u is the spacetime outflow velocity where the falling mass is located at a given moment of time. Diagram 2) represents a larger mass falling in the same field. Its corresponding outflow velocity is slower (indicated by a shorter double arrow). If we do the math for each mass, we find that the total falling velocity-squared (gx) is the same for both. This once again confirms that different masses fall at the same rate.
Update: The equations below include the dark matter effects of spacetime. As volume (V) grows, the significance of spacetime mass (psV) becomes more significant and pressure mass (increased spacetime mass caused by matter) becomes less significant. At galactic scales and beyond, most of the gravity is caused by spacetime rather than matter.


















No comments:
Post a Comment